
News & Stories
Wiesbaden. Whether hotel operations or investments in real estate: MHP Hotel, Schörghuber Group with Arabella Hospitality and Warimpex report pleasing results for the first half of 2022 and are cautiously optimistic about the future.
Wiesbaden. If corona and the shortage of skilled workers have already pushed numerous companies to the edge, the new challenges posed by the war in Ukraine are likely to force others into the abyss. Although insolvencies could also be a solution to the problem, the four specialist lawyers interviewed in this article see a greater likelihood of closures and mergers, especially from 2023 onwards. The big storm threatens exhibition hotels and upscale hotels, and small operators should look for strong partners in time.
Wiesbaden. The global desire to travel experienced new highs in the first half of 2022, and this is also reflected positively in the results of Marriott, Hilton and B&B Hotels Germany. And the groups still remain optimistic about the future.
Wiesbaden. Accor and Motel One are pleased with revenue growth in the first half of 2022, which made them forget the pandemic, especially in the second quarter. Despite the tense economic environment, the groups still expect further growth.
Frankfurt. The European Central Bank subjected more than 100 banks to a climate stress test: 60% of the institutions failed, they have climate risks in the billions on their books. The second part of Deloitte's "Banking Trend Radar" also confirmed this week: banks are under green pressure.
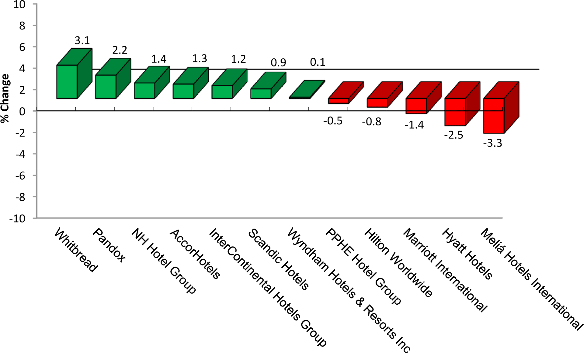
Madrid. NH Hotel Group heads into the summer with very good perspectives. The 2Q performance even topped 2019 levels and group revenue grew significantly.
Madrid. Spanish Room Mate Hotels has filed for voluntary insolvency. At the same time, it has announced a binding offer from an investor securing business and jobs.
Rimini. The next four to six months might give momentum to hospitality development models in Italy: ROI trends, rising inflation, development costs, geopolitical tensions and price levels might altogether mark the end of current lease contracts. Or at least reduce their numbers sensibly.
Amsterdam. Singapore's sovereign wealth fund GIC, Charlie MacGregor as founder and APG as previous shareholder acquire a "substantial" stake in The Student Hotel from Aermont Capital. The transaction values TSH, including assets under development, at 2.1 billion euros. Aermont Capital exits the company.
Paris. Ennismore is taking over Accor's stakes in Rixos and Paris Society. At the same time, Accor, as majority shareholder in Ennismore, has announced it is in exclusive negotiations to sell a 10.8% stake in Ennismore to a Qatari consortium for a total amount of 185 million euros. This includes a Shari'a-compliant financing of 20 euros million by Qatar First Bank LLC to the Qatari consortium's investment vehicle.



